Advertorial

Pozvánka na 2. ročník stavebného veľtrhu BigMarket na Slovensku

Na podujatí sa predstaví až 37 vystavovateľov - popredných dodávateľov stavebných materiálov a inovácií s prezentáciou...

Hotel Hirschen Spa House, Rakúsko

Novotvar v prostredí alpskej obce.

Vytvorte si kúpeľňu snov: dizajnové riešenie od značky hansgrohe

Hansgrohe - prémiová značka kúpeľňových riešení, ponúka nadčasový dizajn, technickú precíznosť a udržateľné inovácie...

Okná Internorm za minuloročné ceny + hliníkový kryt zdarma!

Využite špeciálnu akciu Internorm: okná za minuloročné ceny a hliníkový kryt úplne zadarmo. Ponuka je časovo obmedzená!

Moderné plynové technológie: Efektivita a inovácie pre 21. storočie

Sumarizácia najdôležitejších inovácií, ktoré redefinujúcich využitie tohto energetického zdroja.

Utesňovanie spodných stavieb pomocou hydro-aktívnej fólie AMPHIBIA.

AMPHIBIA 3000 GRIP 1.3 od spoločnosti ATRO predstavuje modernú hydroizolačnú technológiu, ktorá spája vysokú odolnosť,...

Dekarbonizácia individuálneho vykurovania domácností – Green Deal evolučne a nie revolučne

Ambiciózne plány EK narazili na ekonomické možnosti domácností v jednotlivých členských štátoch –...

Minimalistické dvere IDEA – technická precíznosť a čistota prevedenia

IDEA DOOR od spoločnosti JAP prináša do interiéru čistý minimalistický vzhľad vďaka bezrámovému riešeniu a precíznej...

Dom s výhľadom na údolie, Dlouhý Most (ČR)

Kontinuita riešenia od vonkajšieho obkladu až po kovania a kľučky.

Schell Vitus – osvedčené riešenie pre sprchy a umývadlá vo verejnom sektore s viac ako desaťročnou tradíciou

Nástenné nadomietkové armatúry Vitus sú mimoriadne vhodné pre rýchlu a efektívnu...

Kompozitné okná predstavujú súčasnosť a budúcnosť

Okenné profily z kompozitného materiálu RAU-FIPRO X od spoločnosti Rehau sú v porovnaní s tradičnými plastovými profilmi mnohonásobne...

Myotis - stoly 2025

Najnovší sortiment stolov pre zariadenie interiérov...

Priemyselné sklenené priečky Dorsis Digero: svetelné rozhranie pre moderné interiéry

Spojenie moderného dizajnu, funkčnosti a svetla do harmonického architektonického prvku.

Význam prirodzeného svetla pre moderné a flexibilné pracovné prostredie

Kancelárska budova Baumit v slovinskom Trzine prešla premenou na moderné a udržateľné pracovisko. Architekti kládli dôraz...

Konferencia Xella Dialóg predstaví novinky a trendy v stavebníctve

Mottom šiesteho ročníku on-line konferencie odborníkov Xella Dialóg je Efektívny návrh budov 2025+: zmeny a riešenia

Inšpirácie pre Trnavu

Publikácia Inšpirácie pre Trnavu nie je štandardným katalógom študentských prác. Zborník je koncipovaný tak, aby bol prezentovaný výsledok čitateľný a jasný pre samosprávu aj občanov. Spolupráca mesta Trnava a Fakulty architektúry STU na jednej strane umožňuje študentom architektúry aplikovať svoje poznatky a schopnosti v reálnom mestskom prostredí a na druhej strane prináša mestu nové pohľady na riešenie verejného priestoru.
Diela
Red 425.10.2017
12250+22
Inšpirácie pre Trnavu
Autori: Ing. arch. Ladislav Michalka, Ing. arch. Ivan Siláči, doc. Ing. arch. Ľubica VitkováNávrh: 2017 - 2017Adresa: Trnava, SlovenskoPublikované: 25. október 2017

Publikácia predstavuje výsledky pokračujúcej, dlhoročnej spolupráce Fakulty architektúry STU s Mestom Trnava na riešení vybraných tém. Jednotlivé modelové riešenia, uvedené v tejto publikácií, sú zamerané na revitalizáciu sídliska Hlboká, Paulínskej ulice a priestoru Kalvárie. Rôznorodosť jednotlivých riešení a prístupov nám dávajú základný obraz o možnostiach a limitoch transformácie jednotlivých lokalít. Trnava, tak ako iné mestá a obce, predstavuje pre budúcich architektov a urbanistov prirodzené laboratórium a tvorivý priestor. Študentské návrhy predstavujú práce neobmedzované skúsenosťami praxe, môžu pracovať s ideálnymi možnosťami pri tvorbe urbánneho prostredia. Jednotlivé modelové riešenia tak slúžia samospráve nielen ako námety a nápady, no najmä ako databáza prístupov, ktoré môže následne využiť v procese participácie s verejnosťou pri zlepšovaní kvality verejných priestranstiev.

Publikácia Inšpirácie pre Trnavu: Hľadanie identity mesta
Publikácia Inšpirácie pre Trnavu: Hľadanie identity mesta

V priebehu roka 2016 sa Mesto Trnava a Fakulta architektúry Slovenskej technickej univerzity v Bratislave dohodli na vzájomnej spolupráci o rozvoji mesta prostredníctvom návrhov riešenia transformácie vybraných lokalít. Uvedené zadania riešili študenti tretieho a štvrtého ročníka bakalárskeho stupňa štúdia a študenti prvého ročníka inžinierskeho stupňa štúdia. Mesto Trnava a Fakulta architektúry STU v Bratislave týmto nadviazali na predchádzajúcu úspešnú spoluprácu, okrem iného v oblasti transformácie územia historického centra a územia okolo cukrovaru - podporenú európskym projektom ECOCITY, či overovania možností rozvoja mesta v jeho okrajových polohách. Sústavným záujmom Fakulty architektúry v Trnave je oblasť centrálnej mestskej zóny a oblasť ochrany a obnovy pamiatkového dedičstva.

V rámci spolupráce boli zvolené tri lokality, ktoré sú rozdielne veľkosťou územia, charakterom a ich úlohou v organizme mesta. Najväčšiu databázu riešení, spolu s teoretickými východiskami predstavuje téma transformácie sídliska Hlboká. Lokalita sídliska Hlboká je mimo pamiatkovo chráneného územia mesta Trnava, ale s priamymi prevádzkovými a vizuálnymi väzbami. Vo vnútornom obraze mesta tento kontakt predstavuje kontrast medzi kompaktne zachovanou mestskou štruktúrou historického jadra s unikátnym mestským fortifikačným systémom a modernistickou urbanistickou štruktúrou. Sídlisko Hlboká predstavuje jednorázovo naprojektované a zrealizované sídlisko. V priebehu desaťročí neprešlo významnejšou úpravou a novovznikajúca zástavba iba dopĺňa existujúci systém sídliska. Autormi riešenia sídliska sú bývalí významní profesori Fakulty architektúry STU - T. Alexy, J. Antal, J. Kavan a F. Trnkus.

Návrh riešenia vnútroblokového priestoru na sídlisku Hlboká
Návrh riešenia vnútroblokového priestoru na sídlisku HlbokáAutori: Adam Brna a Simona Bertóková

Priestor Paulínskej ulice, druhej riešenej lokality, je súčasťou verejných priestorov mestskej pamiatkovej rezervácie Trnava. Ak ho porovnávame s inými rekonštruovanými ulicami a námestím, svojim súčasným charakterom a stavom však tomu nezodpovedá. Priestor slúži najmä ako parkovisko, obmedzuje pohyb ľudí, kultúrny rozvoj a v konečnom dôsledku, súčasný stav ulice, brzdí ekonomický rozvoj služieb a obchodu. Má ale vysoký potenciál stať sa špecifickým v systéme verejných priestorov centra mesta. Predurčuje ho k tomu aj jeho história, spojená najmä s existenciou vodného toku v tomto „druhom horizonte“ mesta. Tieto zaniknuté prvky vrátane možnosti prezentácie hradieb boli veľkou výzvou pre študentov a návrhy priniesli viacero alternatívnych pohľadov na revitalizáciu ulice a jej významu.

Návrh rekonštrukcie Paulínskej ulice s vodnými prvkami pripomínajúcimi polohu potoka
Návrh rekonštrukcie Paulínskej ulice s vodnými prvkami pripomínajúcimi polohu potokaAutori: Dorota Volfová a Michaela Žáková

Územie kalvárie je dnes nedostatočne využívané. Na mieste zaniknutého cintorína sa nachádza park s pozostatkami náhrobných platní významných osobností. Dnes, na mierne vyvýšenom pahorku neďaleko trnavského cukrovaru, je toto miesto obľúbené u obyvateľov Trnavy na prechádzky či odpočinok. Je dejiskom niektorých spoločenských podujatí mesta. Parkový areál vytvára príjemné prostredie na trávenie voľných chvíľ v prírode. Lokalita nie je vzhľadom na svoj pôvodný význam v organizme sídla dostatočne prezentovaná. Je však zrejmé, že súčasné využitie bude mať skôr profánny charakter. Dnes nevyužívaný areál, nachádzajúci sa v odľahlej polohe sídla, spolu s vodným tokom a cukrovarom, predstavuje potenciálnu možnosť na prepojenie areálu kalvárie s historickým jadrom mesta práve cez revitalizovaný areál cukrovaru.

Obnova a prezentácia objektu lazareta na Kalvárii
Obnova a prezentácia objektu lazareta na KalváriiAutori: Mariana Bartková, Katarína Nedelská, Lucia Kovárová, Emília Rigdová, Hana Kučerová, Dominik Seidl

Prístup k prezentácií riešení

K poznaniu teoretických východísk, histórie jednotlivých riešených lokalít a odporúčaní pre tvorbu slúži vždy úvod každej z troch kapitol. Formou samostatných vedeckých článkov je čitateľ uvedený do riešenej témy a umožňuje mu to lepšie pochopiť kontext jednotlivých riešení. Považujeme za dôležité, aby samosprávy vedeli svojim občanom, ale aj samotným odborným pracovníkom, ponúknuť viac ako riešenia a vizualizácie. Veríme, že takáto forma overovania možného budúceho rozvoja území a jeho spracovania je nápomocná i pre odborných zamestnancov samospráv. Môže slúžiť na rozvinutie diskusie, argumentáciu i ako vodítko pre lepšiu komunikáciu o možnosti transformácie tej, ktorej lokality. Ako zásadné vnímame úvahy nie len o referenčných príkladoch, ale i o väzbách a územných súvislostiach rozvoja riešených území. Pre samotných obyvateľov ponúka takáto forma spracovania možnosť oboznámiť sa s vývojom územia, jeho problémami a potenciálmi.

Modelové územie Hlboká

Zadanie ateliérovej tvorby, zamerané na sídlisko Trnava - Hlboká vychádza zo súčasných teoretických poznatkov na transformáciu sídlisk, ako aj z diferencovaných skúseností pri realizácií humanizácie sídlisk v zahraničí. Predovšetkým však reaguje na konkrétne problémy riešeného obytného súboru. Obnova slovenských sídlisk rieši takmer výhradne iba obnovu bytových domov a ich stavebno-technologický štandard. Priestorová štruktúra sídliska v sebe nesie problémy v ekonomickej, ekologickej i sociálnej udržateľnosti. Vzhľadom na skutočnosť, že v našej praxi absentuje premyslená a koordinovaná stratégia transformácie sídlisk, našim cieľom bolo stratégiu budúcej premeny sídliska Trnava - Hlboká ponúknuť v niekoľkých alternatívach.

Návrh stretávacieho priestoru
Návrh stretávacieho priestoruAutori: Miroslava Bubláková a Andrea Ďuďajová
Možné využitie striech na vybudovanie komunitných záhradiek
Možné využitie striech na vybudovanie komunitných záhradiekAutori: Zuzana Benková a Natália Fuckuláková
Modulové variantné riešenie, ktoré sa prispôsobuje aktuálnym dopytom
Modulové variantné riešenie, ktoré sa prispôsobuje aktuálnym dopytomAutori: Robert Kusý a Tomáš Pozdech

Zamerali sme sa preto na koncepciu obnovy sídliska ako celku. Následne boli rozpracované jeho jednotlivé segmenty a konkrétne lokality až po detailné riešenia jednotlivých mikropriestorov sídliska. Na sídlisku Trnava - Hlboká sme demonštrovali modelové schémy možných prístupov k obnove sídlisk, ako z hľadiska teoretického, tak z hľadiska edukačného vedenia študentov v ich tvorbe. Z výskumného hľadiska, uplatnením metódy „research by design“ bolo pre nás kľúčové poukázať na diferencovanú možnosť miery dostavby a prestavby sídliska. Vychádzali sme zo súčasného stavu zástavby sídliska, no disponovali sme pôvodnými konceptami, s ktorými pracovali autori riešenia sídliska. Naším cieľom bolo zachovať existujúcu priestorovú štruktúru a overiť rôznu mieru a možnosti jej priestorového a funkčného dotvárania. V tomto procese zohrával podstatnú úlohu verejný priestor a najmä jeho ťažiskové polohy, ako generátor nových aktivít či novej zástavby. V spolupráci s pedagógmi spracovali študenti i grafické prílohy i v podobe schém. Schémy spracovali vždy v rovine súčasného stavu a nimi navrhovaného riešenia, pričom analyzovali a hodnotili nasledovné aspekty:

  • Zástavbu - súčasnú a navrhovanú
  • Priestor - jeho charakter v členení na súkromný, verejný a ťažiskový verejný
  • Prevádzku - obsahovala všetky formy dopravy a pešie ťahy a priestranstvá.

Získali tak obraz o miere a charaktere navrhovanej premeny sídliska v uvedených vrstvách zástavby, priestoru a prevádzky. Pre samosprávu je zas cenné vyhodnotenie týchto alternatív s prihliadnutím na ich prínos a realizovateľnosť.

Súčasný stav meraných ukazovateľov v schémach
Súčasný stav meraných ukazovateľov v schémachAutori: Ladislav Michalka a Ivan Siláči
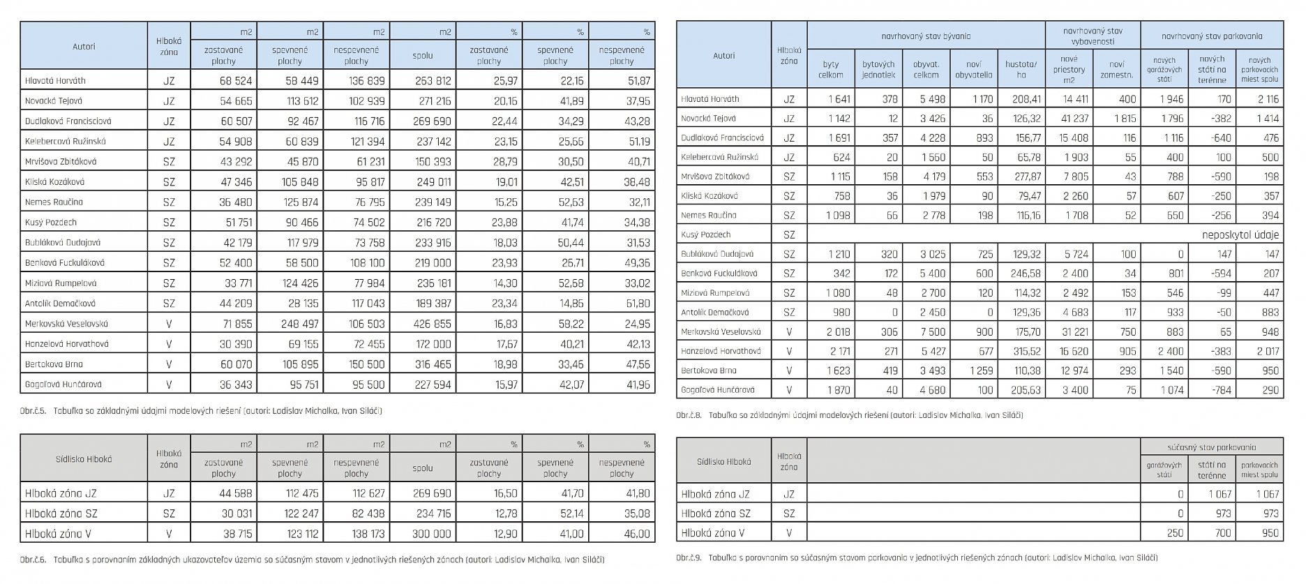
Porovnanie jednotlivých modelových riešení v schémach
Porovnanie jednotlivých modelových riešení v schémachAutori: Ladislav Michalka a Ivan Siláči
Priemet všetkých modelových riešení v schémach
Priemet všetkých modelových riešení v schémachAutori: Ladislav Michalka a Ivan Siláči

Odôvodnenie prístupu a záver

Pred koncipovaním zborníka sme stáli pred základnou otázkou - ako odprezentovať jednotlivé študentské práce čitateľne a jasne pre samosprávu a jej obyvateľov a zároveň umožniť objektívnejšie hodnotenie a porovnanie jednotlivých prác v rámci pedagogického procesu. Pri viacerých architektonicko-urbanistických súťažiach či rôznych prezentáciách býva zvykom nastavenie určitých pravidiel prezentovania jednotlivých návrhov z dôvodu objektívnejšieho a rýchlejšieho hodnotenia súťažných návrhov. V prostredí fakulty sa stretávame s názorom, že študentovi treba ponechať čo najväčší priestor na grafický (a častokrát aj vecný) spôsob prezentácie návrhu, ktorý má zabezpečiť neobmedzený tvorivý rast samotného študenta. Súhlasíme, že je nevyhnutné dbať na mieru tvorivej voľnosti v rámci odborných vedomostí a rast študenta, no táto voľnosť v konečnom prezentovaní prác znemožňuje jednoduché porovnanie a vyhodnotenie prác. V spolupráci na riešení revitalizácie sídliska Hlboká sme zadali povinné výrezy niektorých výkresov ako i rovnakú logiku tvorby schém. Tieto mali umožniť rýchle, jednoduché a vecné porovnanie daných návrhov. V téme riešení územia Kalvárie zas toto porovnávanie prebiehalo v prezentácií rôznych riešení z rovnakých predpísaných náhľadov. Nedochádza tak ku skresľovaniu jednotlivých prístupov a ich porovnanie je jednoduchšie a jasnejšie.

Tabuľky so základnými údajmi modelových riešení
Tabuľky so základnými údajmi modelových riešeníAutori: Ladislav Michalka a Ivan Siláči

Myslíme si, že v prípade aktívnej spolupráce fakulty a samosprávy je nutné podmienky prezentácie návrhov nastaviť tak, aby bol výsledok čo najviac použiteľný pre potreby zadávateľa - samosprávy, no zároveň aby bol pedagogický proces vedený s jasnou víziou cieľa, ktorý má byť touto spoluprácou dosiahnutý. Vyššie nároky generujú vyššiu kvalitu modelových riešení. Vložené finančné prostriedky tak majú pre samosprávu vyššiu hodnotu, nakoľko dochádza k relevantnému posúdeniu jednotlivých návrhov.

Možné varianty obnovy vstupu do Kalvárie
Možné varianty obnovy vstupu do KalvárieAutori: Mariana Bartková, Katarína Nedelská, Lucia Kovárová, Emília Rigdová, Hana Kučerová, Dominik Seidl

Transformácia verejných priestranstiev je dlhodobou výzvou všetkých samospráv na Slovensku. Na Fakulte architektúry, ako najstaršej a najväčšej vzdelávacej inštitúcií pre architektov, urbanistov a dizajnérov na Slovensku, pôsobí vyše 100 pedagogických a tvorivých zamestnancov - odborníkov v oblasti architektúry, urbanizmu, dizajnu či krajinnej a záhradnej architektúry. Povinnosťou fakulty je zúročiť potenciál jeho zamestnancov, no najmä študentov, a svoje pedagogické a výskumné pôsobenie cieľavedome zamerať v prospech kvalitného životného prostredia našich miest a obcí. Výhodou akademickej slobody a nezávislosti je možnosť prinášať nezaťažené, inovatívne a originálne riešenia.

Návrh riešenia verejného priestoru pred Mestským úradom
Návrh riešenia verejného priestoru pred Mestským úradomAutor: Laura Foltínová

Na publikácií Inšpirácie pre Trnavu spolupracovali a teoretické vedecké články vypracovali prof. Ing. arch. Bohumil Kováč, PhD., doc. Ing. arch. Ľubica Vitková, PhD., doc. Ing. arch. Jana Gregorová, PhD., a dvojica doktorandov Ing. arch. Ladislav Michalka a Ing. arch. Ivan Siláči. Sprievodné komentáre k jednotlivým študentským práca sú dielom jednotlivých pedagógov, ktorí študentov viedli. Editormi publikácie sú Ing. arch. Ladislav Michalka a Ing. arch. Ivan Siláči.

Publikáciu môžete nájsť v knižnici fakulty architektúry STU v Bratislave v sekcií urbanizmus a územné plánovanie v časti mestá SR a ČR pod lokačnou signatúrou 18k II 115.

Poloha diela

Ing. arch. Ladislav Michalka
Ing. arch. Ivan Siláči
doc. Ing. arch. Ľubica Vitková
Vložené
24. október 2017
0
1225
Hlavný obsahHlavný obsah
Čakajte prosím